Методическая разработка по теме "Описательные эпидемиологические исследования"
Материалы для изучения темы "Описательные эпидемиологические исследования"
4. Описание внутригодовой динамики заболеваемости (распределение месячных показателей заболеваемости)
4.1. Колебания внутригодовых (месячных) показателей заболеваемости
1. Равномерное или неравномерное распределение показателей заболеваемости. Внутригодовая структура и динамика месячных показателей заболеваемости неинфекционными болезнями, как правило, не имеет достоверных изменений в пределах одного года. Для инфекционных болезней, напротив, часто характерны достоверные колебания месячных показателей заболеваемости, поэтому внутри года можно выявить несколько вариантов их распределения.
Относительно равномерное распределение заболеваемости: когда все месячные показатели достоверно не превышают фонового уровня заболеваемости, выше которого фоновая заболеваемость подняться не может.
Терминами, близкими по смыслу фоновой заболеваемости, являются «межсезонная» и «межэпидемическая» заболеваемость (или заболеваемость в межсезонный и межэпидемический периоды). Эти термины отражают заболеваемость только в те месяцы, когда фактические показатели не превышают фоновый уровень.
Неравномерное распределение заболеваемости: когда отмечаются достоверные подъемы заболеваемости выше предельной фоновой заболеваемости.
Внутригодовые подъемы заболеваемости - объективное явление, отражающее активизацию и/или изменение набора факторов риска внутри года. Внутригодовые подъемы могут быть представлены разным набором случаев, например только спорадическими или относящимися к вспышкам либо их сочетанием.
2. Неравномерное распределение показателей заболеваемости: сезонные или хаотические подъемы заболеваемости.
• Сезонные подъемы регулярно, практически ежегодно, повторяются приблизительно в одно время (сезон):
- сезонные подъемы при одних болезнях начинаются и заканчиваются в одном году, при других - начинаются осенью (зимой) и заканчиваются уже в следующем году;
- подъемы заболеваемости могут захватывать один, два или три природных сезона, следовательно, сезонность может быть зимней, осенней, летне-осенней, весенне-летне-осенней и т.д.;
- сезонность можно выявить по табличным и графическим данным, но при условии, что данные о заболеваемости представлены за весь изучаемый период и распределены по месяцам года в таблице, на ленточной диаграмме или типовой кривой;
- если табличные или графические данные о заболеваемости представлены за один год, делается вывод о наличии подъема, но является ли он сезонным неизвестно.
• Хаотические (эпизодические) подъемы возникают относительно редко, только в отдельные годы и разные месяцы. Данное распределение заболеваемости может быть связано со вспышками заболеваемости, которые формируются за счет случайных факторов. Из описания внутригодовой заболеваемости она исключается и анализируется отдельно, как правило, в оперативном эпидемиологическом анализе. Ориентировочные выводы о наличии (отсутствии) этих проявлений возможны уже при обычной визуальной оценке таблиц и графиков динамики месячных показателей заболеваемости. Графики могут быть представлены:
- в виде линейной диаграммы месячных показателей заболеваемости отдельного года, при построении соблюдается правило «золотого сечения»;
- ленточной диаграммы месячных показателей заболеваемости - непрерывная кривая, отражающая внутригодовую динамику заболеваемости за ряд лет с единой ценой деления (длина масштабного отрезка чаще всего равна 0,5 см, что позволяет одним взглядом охватить особенности распределения месячных показателей внутри года сразу за несколько лет), правило «золотого сечения» при построении не соблюдается;
- типовой кривой месячных показателей заболеваемости - это кривая, построенная по средним (чаще медианным) значениям заболеваемости каждого месяца за изучаемый период, при построении соблюдается правило «золотого сечения».
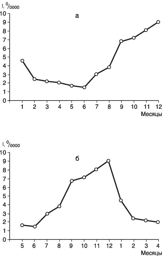
Если типовой сезонный подъем начинается и заканчивается в одном году, то график строят как обычно, начиная с января и заканчивая декабрем. Если типовой сезонный подъем начинается в одном году, а заканчивается в следующем, при построении диаграммы обозначения на оси Х следует начать не с января, а с одного из месяцев минимальной заболеваемости (рис. 11).

Рис. 11. Медиана (типовая кривая) заболеваемости населения города В гепатитом А в 1992-2000 гг.: а - обычное построение графика, начиная с января, что более пригодно для изучения межэпидемического периода; б - график начинается с одного из месяцев минимальной заболеваемости. Второй график более наглядно отражает типовые сроки начала и окончания сезонных подъемов заболеваемости населения города В гепатитом А за представленные 9 лет